dev
Git - Bash
Git - Bash
Git Command
.gitignore
git init
git clone
git add
git commit
git commit --amend; undo things
git status
git diff; see what you’ve changed but not yet staged
git diff --staged; see what you’ve staged that will go into your next commit
git rm
git mv file_from file_to
git log
git remote -v
git remote add [shortname] [url]
git fetch [remote-name]
git push [remote-name] [branch-name]
git checkout --track origin/branch_name; checkout one remote branch
upload new created project from local
git init
git config --local user.name <"myname">
git config --local user.email <"myname@email.com">
git remote add <origin> <https://my.repo.git>
git remote -v
git pull <origin> <master>
git push <origin> <master>
upload a new local branch to remote
git checkout -b local_branch_name
git push -u origin local_branch_name
git fetch vs pull
git pull = git fetch + git merge
git stash
“Stashing takes the dirty state of your working directory — that is, your modified tracked files and staged changes — and saves it on a stack of unfinished changes that you can reapply at any time.”
- https://git-scm.com/book/en/v1/Git-Tools-Stashing
- http://stackoverflow.com/questions/23898093/stash-the-changes-made-with-atlassian-sourcetree
git revert
git revert <commit hash>create a new commit to revert the unwanted commitgit revert --no-commit <commit hash>revert the unwanted commit and leave the changes in the staging area
git reset
git reset <commit-id>reset to the target commit--soft: just reset HEAD (HEAD means where is the current commit)--mixed: reset HEAD and index (index means the tracking changed file)--hard: reset HEAD, index and working tree (working tree means the local changes)
Git Merge
// merge feature-branch to main-branch
git checkout main-branch
git merge [--no-ff] feature-branch
git branch -d feature-branch
git push origin main-branch
options:
- fast-forward: combine other branch’s commit info into one tree
- by default
- no fast-forward: keep other branch’s commit info
--no-ff- if there’s merge conflict
When using no fast-forward, git automatically identifies the best common-ancestor and creates a new commit object that contains the merged work.

When merging, some problems are not easy to detect. For example, someone made a commit “10-master” in master branch then reverted it. But the revert didn’t go into dev branch. When the dev branch merges back into master branch, everything seems ok. The problem is: the dev teams might have dependency on the “10-master” commit but they never knew about the revert.
Best practice: add an “admin” role for the major branches. For example, release branch should have a release admin, everything goes into the release branch goes through the admin first.
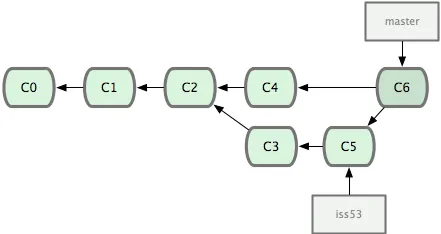
Git Rebase
Rebase: reapply commits on top of another base tip
git rebase master topic
=
git checkout topic
+
git rebase master
before
A---B---C topic
/
D---E---F---G master
after
A'--B'--C' topic
/
D---E---F---G master
rebase v.s. merge
git mergeis “non-destructive”, “the existing branches are not changed in any way”.git rebase“re-writes the project history by creating brand new commits for each commit in the original branch”.